光纤光谱仪因其快速、无损、原位测量的特点,在半导体行业广受青睐。海洋光学作为微型光纤光谱仪的发明者,在此领域也积累了一定的经验。从等离子体刻蚀到晶圆膜厚测量,光纤光谱仪都有一定的应用。下面,为您带来光纤光谱仪测量晶圆膜厚的应用ag贵宾会的解决方案。
首先,我们回忆一下
什么是光的干涉?
两列或几列光波在空间相遇时互相叠加,引起光强的重新分布,在某些区域始终加强,某些区域始终减弱,从而出现了明暗相间或彩色的条纹,这种现象称为光的干涉。

图1:光的干涉现象图
当然了,也不是任意两列光波随随便便就可以发生干涉的,光的干涉产生的条件很是严苛。只有频率相同、振动方向相同、相位差恒定的光波才能产生干涉效应。

下面,我们来了解一下
著名的杨氏双缝干涉实验

s是一个受到单色光源照明的小孔,从s射出的光波照射屏上对称的小孔s1、s2。由s1、s2散发出的光波来源于同一光波,因而是相干光波,在距屏d’ 的屏上叠加并形成干涉图样。

当两束光的波程差是半波长的偶数倍时,振动加强,呈现亮条纹;当两束光的波程差是半波长的奇数倍时,振动减弱,呈现暗条纹。单色光的干涉条纹宽度相同,明暗相间,均匀分布。不同色光条纹宽度不同,波长越长的干涉条纹的宽度越大。
进入正题,
如何使用光纤光谱仪测薄膜厚度?

图2:原理图
上图为采用光纤光谱仪测膜厚的原理图,光束以θ1入射到薄膜表面,一部分直接反射,另一部分则以θ2 发生折射,折射光经膜层下表面反射后再经其上表面发生折射,反射光1与反射光2相干发生干涉。使用光纤光谱仪测量薄膜的厚度主要是基于其反射干涉光谱。

图3. 实物图
测量时,整个光路主要由反射探头组成,探头部分垂直于晶圆向下放置,光纤端一部分连接光源,形成入射光,另一部分连接光纤光谱仪,接收反射光谱。反射光谱曲线中干涉峰的出现是薄膜干涉的结果。
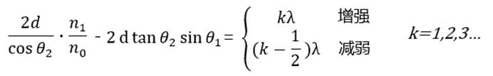
在薄膜干涉实验中,波长与介质折射率、薄膜厚度之间有如下关系:

白光干涉法测反射光谱时,由于我们采取垂直入射得方法( θ10, θ20),因此上式可简化成:

如果知道具体k的值,就可根据干涉峰位推算出膜层厚度d,但由于每个干涉波峰和波谷所对应的k很难确定,且不同厚度的薄膜k值都不相同,因此通常采用消去k的方法求出薄膜的厚度d。
图2:不同厚度薄膜的反射光谱
假定反射光谱曲线上有相邻的两个波峰λ1与波谷λ2,可联立两式求得薄膜的厚度d。

实际上, 从反射光谱上可以得到多组波峰和波谷对应的波长, 计算出多个薄膜厚度的数值, 然后求平均以减少测量误差。

光纤光谱仪测膜厚的优势与特点
| 1 | 采样速度快,适用于工业在线实时测量。 |
| 2 | 非接触式光学无损测量。 |
| 3 | 灵活、体积小,重量轻,usb连接方式即插即用。 |
| 4 | 可根据需求,定制不同波段的光谱仪。 |
| 5 | 可测多层膜厚。 |
配置推荐
| 配置推荐 | |
| 1 | 光谱仪 qe pro高灵敏度光谱仪 |
| 2 | 光纤 海洋光学qr系列反射探头 |
| 3 | 光源 dh2000氘钨灯光源 |
| 4 | 配件 stage-1反射支架 |
应用案例
天津大学章英等人用光源、光学显微镜、显微干涉测头、光纤和usb4000光谱仪组成的显微干涉光学系统(系统结构如下图所示),基于白光干涉光谱法,对几种不同厚度薄膜的测量,最终测量结果和仿真结果一致。
图3:系统结构图

图4:使用ag贵宾会-ag真人国际官网组成的显微干涉光学系统
测得的反射干涉光谱

参考文献
[1]卫银杰. 基于白光反射光谱的晶圆膜厚测量算法研究[d].中国计量大学,2019.
[2]章英. 白光干涉光谱测量方法与系统的研究[d].天津大学,2012.
[3]刘颖丹,苑进社,潘德芳.基于反射光谱的in_xga_(1-x)n半导体薄膜厚度测量[j].重庆师范大学学报(自然科学版),2009,26(04):98-100.
[4]张永刚.基于反射谱的gan薄膜厚度在线测量系统[j].电子质量,2004(12):56-57.
