简介
量子点,又称半导体纳米晶,是导带电子、价带空穴及激子在三个空间方向上受束缚的半导体纳米结构,其三维尺寸通常在2-10nm范围内,呈近似球形,市场上使用的量子点材料多为核壳结构。

量子点:具备广阔应用领域的新材料
量子点具有激发光谱宽、发射光谱窄、荧光效率高、生物兼容性好等优良的光学特性。利用量子点独特的纳米特性,量子点材料可广泛应用于发光器件、太阳能电池、催化、生物标记和生物医学等领域的基础研究和应用开发。
量子点发光特性表征方案
—— 光致发光的量子效率计算
背景
光致发光 (photoluminescence) 即 pl,是用紫外、可见或红外辐射激发发光材料而产生的发光,在半导体材料的发光特性测量应用中通常是用激光(波长如 325nm、532nm、785nm 等)激发材料(如 gan、 zno、gaas 等)产生荧光,通过对其荧光光谱(即 pl 谱)的测量,分析该材料的光学特性,如禁带宽度等。光致发光可以提供有关材料的结构、成分及环境原子排列的信息,是一种非破坏性的、高灵敏度的分析方法,因而在物理学、材料科学、化学及分子生物学等相关领域被广泛应用。

原理
光致发光(photoluminescence简称pl),是指物体在受到外界光源照射时,获得能量,受激发光的现象。也指物质吸收光子(或电磁波)后重新辐射出光子(或电磁波)的过程。
在量子力学理论中,这一过程可以描述为物质吸收光子跃迁到较高能级的激发态后返回低能态,同时放出光子的过程。光致荧光发光是多种形式的荧光(fluorescence)中的一种。

荧光产生的过程
荧光量子效率
在现阶段光致发光材料的研究中,计算荧光量子效率非常重要,这是反映光致发光材料发光能力的重要指标。
荧光量子效率又称荧光量子产额(quantum yield of fluorescence)或荧光效率。一般情况下,荧光量子效率、荧光量子产额与荧光效率描述等价。他们均指单位时间(秒)内,发射二次辐射荧光的光子数与吸收激发光初级辐射光子数的比值,用来描述荧光材料发光能力,可以使用下列公式表达:


其中外量子效率是直接测量对象,内量子效率很难测,一般通过出光率进行推算。
测试方法
现有的测定荧光外量子效率的方法有比较测量法、量热式测量法、直接光学测量法;[1-3]
比较测量法需要一个与待测粉体光学特性相近且量子效率已知的弱吸收标准粉体作参考;量热式测量法需要知道粉体的吸收曲线,并且对光源性能、热敏探头灵敏度、仪器隔热性能要求都很高,而荧光粉是高吸收粉体,且吸收曲线不易测定;
国外通用的直接光学测量法是对激发前后光谱进行直接测量的方法,可以采用分布光度计或带积分球的光谱仪测量。分布光度计需要大的暗室、高精度位移控设备,价格昂贵,全空间测量耗时太长[4], 而基于积分球和光谱仪的直接光学测量系统测试原理简单,设备简易,测试方便、快捷,下面我们就以积分球测量的方法做一个简单介绍。
经典三步测量法(整积分球测量方案)
1. 积分球测量原理:

测试搭建好后,按照下列步骤进行操作。(有时也可以将样品放置在球壁开口处,测量步骤与放在球中心相同)
第一步,不放样品,激光直射入球内;
第二步,样品置于积分球中心稍偏离入射光位置;
第三步,样品置于积分球中心。
示意图如下:

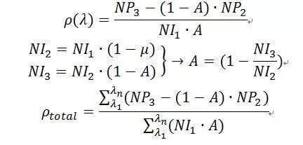
将测试数据,按照下列公式进行计算


积分球半球法
● 半球法测试方案原理如下:

● 半球法的优势(与整个积分球测量方式对比):
1. 量子效率测量更高效快速;
2. 样品安装方便,易添加附属的供电或温控模块。
● 缺点:平面镜反光涂层与积分球内漫反射材料光学特性不一致,且半球价格相对较高
● 典型搭建推荐

quantum yield measurement system by hemi sphere system, and evaluation by standard sample
● 根据积分球测试方法,我们可以简单归纳为以下步骤:

海洋光学搭建推荐

海洋配置:
1. 探测器: 光谱仪-高灵敏度低杂散光 (flame,maya,qe, nirquest系列)
2. 单色光源(led ,laser, 氙灯 单色仪 )
3. 滤光片(lfv长通/低通滤光片)
4. 光纤(qp400-025-sr)
5. 软件(oceanview)
6. 积分球
7. 样品支架:可调角度和高度、分类设计(液体、粉末、薄膜)、带漫反射底板

ag贵宾会-ag真人国际官网方案优势
1. 光谱仪体积小巧,易于搬运和操作;
2. 设备操作简单,无需经常校准;
3. 测试系统可实现原位测量,测试样品无需从手套箱取出;
4. ag贵宾会的解决方案完善,数据可信赖,可提供参考方案。
参考文献:
[1]tregellas-williams j.review of the measurement of the quantum efficiency of inorganic phosphors [j]. j. electrochemical society, 1958, 105 (3): 175-178.
[2] demsas j n, crosby ga. the measurement of photoluminescence quantum yields [j]. 1areview2j. physical chemistry, 1971, 75 (8): 992-993.
[3] porres l, holland a, monkman ap, et.al. absolute measurements of photoluminescence quantum yields of solutions using an integrating sphere [j]. j fluorescence, 2006, 16 (2): 267-272.
[4] ohno y.detector-based luminous-flux calibration using the absolute integrating-sphere method [j]. metrologia, 1998, 35: 473-478
